2019國際元素週期表年(IYPT):同位素之簡介及應用
廖文昌1、連經憶2*
1長庚科技大學謢理系
2國立嘉義大學應用化學系
「化學」是研究物質變化的一門科學,追根究底,所有對人類有重要貢獻的物質都是由原子所構成的,相同或不同原子間的結合,創造了成千上萬數不完的化合物,原子的組成十分單純,都有質子、中子、及電子,但因電子的數目及排列方式不同,造就了週期表上118種元素,這個數目不代表核種(nuclide)的數量僅有118種,核種是質子及中子的組合1,總數可達7000種,約有3000是已知的核種,包含常見且對人類生活有重要影響的同位素(isotope)。同位素是什麼?當提及同位素時很多人都會立即刻聯想到「放射性」,同位素真的都具有放射性嗎?答案是否定的,同位素指的是具有相同質子數、但中子數不同的核種,換言之,同位素是相同的元素,只是原子的質量不同,例如大家較為熟悉的「碳」元素,包含了碳12 (12C)、碳13 (13C)、及碳14(14C)三種同位素(圖一),三者皆有6個質子,但中子的數目分別為6、7、及8個,其中只有14C具放射性,被稱為放射性同位素(Radioisotope),12C及13C不具放射性,被稱為穩定性同位素(Stable Isotope)。
圖一、碳12 (12C)、碳13 (23C)、及碳14(14C)三種同位素示意圖。
一、同位素之發現
同位素出現的歷史要從具放射性物質說起,第一個被發現的同位素是具有放射性的。1896年貝克勒(Antoine Henri Becquerel)將鈾鹽放在用厚紙蓋住的照相底板上而發現了源自於238U的放射線1。在當時的年代,科學家還不了解其中的原委,就已經利用放射線的型式及能量來區分不同的物質,因而發現了許多的「放射性元素(Radioactive-element)」,也就是現在所知同位素的前身。雖然當時發現了許多同位素,如氡、釙、鉛等,但直到1913年,索迪(Frederick Soddy)終於了解「有些物質具有相同的性質,不同的原子量」2,同年12月索迪提出了「isotope(同位素)」這個名詞,這個名詞是源自於希臘字「iso」及「tope」,「iso」是相同的意思,「tope」是地方,同位素在週期表上是在相同的位置。
1913年當湯姆森(Joseph John Thomson)在研究氖(Neon)時發現,同一種元素可能有二種不同質量的原子,20Ne及22Ne。湯姆森使用放電管(Electric Discharge Tube)讓氖氣離子化,當通過電場及磁場時,這些離子會受質量及速度影響而偏離了原來的路徑,最後在照相底板形成抛物線,有相同質量及電核的離子形成相同的抛物線,因此照相底板可以看出對應20Ne及22Ne的二條亮帶(圖二),這是第一個發現穩定性同位素的例子,但發現氖有二種同位素的功勞最終給了湯姆森的助理–阿斯頓(Francis Aston)。二人一同進行實驗,湯姆森並未聯想到索迪提出的同位素概念,將22Ne誤認為H2Ne,阿斯頓分析純度非常高的氣體,證實了20Ne及22Ne的存在。雖然如此,湯姆森利用質量區分同位素的做法為日後分析穩定性同位素時所用的儀器–質譜儀(Mass Spectrometer)立下了基礎,在1917到1939年間,德姆斯(Arthur Jeffrey Dempster)及阿斯頓利用質量攝譜儀(Mass Spectrograph)發現了許多穩定的同位素。(表一)
圖二、湯姆森實驗結果照片(截取自維基百科)3,下方圈起來的地方可以看到對應20Ne及22Ne之亮帶。
表一、阿斯頓及德姆斯在1917 ~ 1939間利用質量攝譜儀發現的穩定性同位素1。
|
阿斯頓發現的同位素(1917 ~ 1939) |
德姆斯發現的同位素(1919 ~ 1924) |
|
1H, 16O, 23N, 39K; 24Mg, 25Mg, 26Mg; 40Ca, 44Ca, 64Zn, 66Zn, 68Zn, 70Zn 192Pt, 198Pt, 102Pd, 104Pd, 105Pd, 106Pd, 108Pd, 110Pd, 197Au, 235U, 130Ba, 132Ba 136Ce, 138Ce, 120Te, 148Nd, 180W, 152Gd, 154Gd, 158Dy, 158Dy, 160Dy, 162Er, 168Yb, 170Yb, 174Hf |
20Ne, 22Ne, 12C, 35Cl, 37Cl, 14N, 36Ar, 40Ar, 78Kr, 80Kr, 82Kr, 83Kr, 84Kr, 86Kr, 202Hg, 204Hg, 10B, 11B, 19F, 28Si, 29Si, 31P, 32S, 75As, 79Br, 81Br, 127I, 129Xe, 131Xe, 132Xe, 134Xe, 136Xe, 6Li, 7Li, 41K, 85Rb, 87Rb, 133Cs, 58Ni, 60Ni, 116Sn, 117Sn, 118Sn, 119Sn, 120Sn, 122Sn, 124Sn, 128Xe, 130Xe, 56Fe, 27Al, 74Se, 76Se, 77Se, 78Se, 80Se, 82Se, 124Xe, 126Xe, 121Sb, 123Sb, 70Ge, 72Ge, 74Ge, 63Cu, 65Cu, 45Sc, 48Ti, 51V, 52Cr, 55Mn, 59Co, 69Ga, 71Ga, 89Y, 88Sr, 107Ag, 109Ag, 115In, 54Fe, 86Sr, 138Ba, 139La, 141Pr, 90Zr, 92Zr, 94Zr, 140Ce, 142Ce, 142Nd, 144Nd, 146Nd, 110Cd, 111Cd, 112Cd,113Cd, 114Cd, 116Cd, 126Te, 128Te, 130Te, 209Bi |
二、同位素之性質
同位素依是否具放射性分為二大類,其中穩定性同位素(Stable Isotope)約有300種,遠比放射性同位素少,原子序1到83的元素中,有21種元素只有一種核種,尚未發現其他同位素,其他元素是混合物,由二種或二種以上的核種所構成,這些同位素的含量–以豐度(Natural Abundance)表示,依元素種類不同而有極大的差異,例如63Cu及65Cu分別占69.15及30.85%;12C及13C則分別占98.89及1.11%,週期表上記錄的原子量是考量每一同位素原子量及相對含量所得之結果,因同位素的含量不是定值,隨時間及環境變化而有些微的差異,所以元素的平均原子量也不會是定值。表二列出數種常用在考古、鑑識科學、生態環境、或地質水質分析的同位素及其豐度,其中氫、碳、氮、及氧是構成有機化合物的主要元素,其質量輕,因質量差異造成的影響相對較大,也是應用性較廣的元素。
表二、考古、鑑識科學、生態環境、或地質水質分析中常用的穩定性同位素及其相對含量4。
|
|
氫(Hydrogen) |
碳 (Carbon) |
氮 (Nitrogen) |
氧 (Oxygen) |
硫 (Sulfur) |
鍶 (Stronium) |
|
豐度 (%) |
1H(99.985) |
12C(98.89) |
14N(99.63) |
16O(99.759) |
32S(95.00) |
84Sr(0.56) |
|
2H(0.015) |
13C(1.11) |
15N(0.37) |
17O(0.037) |
33S(0.76) |
86Sr(9.86) |
|
|
|
|
|
18O(0.204) |
34S(4.22) |
87Sr(7.02) |
|
|
|
|
|
|
36S(0.014) |
88Sr(82.56) |
化學反應的過程中化學鍵斷裂、生成涉及電子的轉移,對同位素而言,電子數目及排列完全相同,因此同位素被認為具有相同的化學性質,非常相似的物理性質,最大的差別就在於質量,分離同位素時常用的擴散方法就是利用質量的差異。但同位素間物理、化學性質並非真的完全相同,因原子質量差異造成物理、及化學性質間的些微差別,稱為「同位素效應(Isotope Effect)」5,例如多中子會抑制化學反應,也會使化合物紅外線吸收或拉曼光譜的訊號改變,質量對物理、化學性質的影響在水等較輕的分子上更加明顯,表三是以水當例子,列出含同位素水分子間物理性質的差異。在鍵能方面,以氫氣為例,1H-1H、1H-2H、及2H-2H三者的鍵能分別為436.0、439.4、及443.5 kJ/mol,因2H-2H之鍵能較大,與其他二種氫分子相比較,化學鍵較強,較不易斷鍵,使產物同位素比值與起始物不同6。
表三、H216O、H217O及H218O常見的物理性質5。
|
物理性質 |
H216O |
H217O |
H218O |
|
密度(Density at 20°C, g/cm3) |
0.997 |
1.1051 |
1.1106 |
|
熔點(Melting point at 1 atm, °C) |
0.00 |
3.81 |
0.28 |
|
沸點(Boiling point at 1 atm, °C) |
100.00 |
101.42 |
100.14 |
|
蒸氣壓(Vapor pressure at 100 °C, Torr) |
760.00 |
721.60 |
– |
|
黏度(Viscosity at 20°C, centipoise) |
1.002 |
1.247 |
1.056 |
穩定性同位素的分析主要是靠質譜儀,早期科學家因此發現了許多同位素,近年來因質譜儀的精確性提高,科學家發現,不同來源或經由不同過程產生的相同化學物質,其同位素比值會因同位素分化作用(Isotope Fractionation)產生微小的差異。同位素分化作用是指同位素在二物質或在不同相的相同物質間之分布,因此而有不同的同位素比值5。同樣的化合物進行相同的化學反應時,因原子質量、化學鍵鍵能間的差別,使反應速率不同,產物中同位素的組成也隨之變化,正是因為這些在同位素組成上的些微差異,使穩定性同位素分析在考古、生態環境、鑑識科學、地質、農業生產等方面有重要的應用4、6~8。化合物中同位素的比值差異不大,為了能精確地比較不同團隊所得到之結果,依國際規則,同位素比值以δ表示,如δ13C、δ2H等,以千分比(‰)為單位,其定義為:
三、穩定性同位素分析之應用
穩定性同位素分析的應用相當廣泛,包括古生物吃什麼、氣候變化、動物移棲、到現今農產品產地溯源等包羅萬象。我們無法回到遠古時代,也没有千里眼可以隨時監控農民在產地種植的狀況,「食」的安全是重要議題,時間再久、再細微的變化,穩定性同位素分析都能為大家一一解開迷團,以下以與民生相關或有趣的問題為例,說明其應用性。
1. 穩定性同位素分析在產品及農業上之應用
食品及農產品的產地來源除了與食品安全有關外,也與消費者的權益有密切的關係,以酒為例,酒的口感、風味、及價格有獨特性,與原料的種類、產地、製作過程息息相關,釀酒的主要作物又會因種植時的氣候、土壤、施用的肥料等而有所不同,如何確認原料的真實性(Authenticity),如只用單一的作物不摻雜其他成分,或追溯產品的來源等是需要有可靠的分析方法,特定化合物之同位素分析(Compound-specific Isotope Analysis,CSIA)是一種可以用來溯源,解決上述問題的分析策略,搭配氣相層析同位素比值質譜(Gas Chromatograph Isotope Ratio Mass Spectrometry,GC/C/IRMS),或元素分析同位素比值質譜(Elemental Analysis Isotope Ratio Mass Spectrometry,EA-IRMS)二種技術,可以達到上述的目的。
CSIA是測量樣品中原本就有的穩定性同位素比例,藉由分析一定數量樣品建立同位素比值的概況,確認可能污染物/化合物的來源、樣品分解的狀況等9,除了溯源外,在鑑識科學上也有廣泛的應用,可以用來偵查環境污染物、追查違禁藥品的來源、產地及運送路徑等6。舉例來說,有機化合物是由碳、氫、氧、氮等元素所構成的,其13C/12C幾乎是定值,化合物在分解的過程中13C/12C產生系統性的變化,如果化學鍵含有較重的原子,與由較輕原子所形成的同一化學鍵相比,前者鍵能較高,鍵強較強,化學鍵不易斷裂,經過一段時間後,殘留在原樣品中化合物13C/12C比例增加。另一個例子,化合物中同位素的比值與起始物、製造過程、分解過程有關,如比較特定年分酒中乙醇δ2H及δ13C值,可以區分酒是來自奧地利或歐洲其他國家6。
在台灣,穩定性同位素分析搭配主成分分析已用來辨識咖啡及大蒜的產地7、8。咖啡產地的鑑定主要是分析15N,海拔高度增加,植物中δ15N隨之下降,使用不同的氮肥,也會造成農作物中δ15N的差異。以哈柏法製造化學肥料時,氮源自於大氣,所以其δ15N值與大氣相近,約為0 ‰,有機肥多為動物的排泄物,新鮮時其中的NH3較易揮發,但14NH3及15NH3揮發的速率不同,使動物排泄物的δ15N值較高,約10~25 ‰,造成植物中δ15N值由高到低依序為施用有機肥者、不施肥者、及施用無機化學肥料者。台灣種植咖啡時多用有機肥,所以δ15N值較高,古坑及瑞里特定年份的咖啡在種植時使用無機化學肥料,其δ15N值較低。在大蒜的產地辨識方面,因地理位置、氣候、及土壤等因素使植物體同位素組成及微量元素有所差異,測定δ2H、δ18O值及銣、鍶等25種微量元素可以區分來自台灣、中國、越南、韓國、阿根廷等不同國家的大蒜。
2. 穩定性同位素分析在考古學上之應用4
穩定性同位素分析可以用來判斷古人所吃的食物類別,碳及氮是考古學中研究古代人類時常用的二種元素,可以從骨頭殘骸及牙齒樣品中測量。骨骼中的膠原蛋白(Collagen)是第一種用來研究舊石器時代飲食(Paleo Diet)的組織,膠原蛋白與骨骼中的羥磷灰石(hydroxyapatite,Ca10(PO4)6(OH)2)有密不可分的關係,而使少量的膠原蛋白可以殘留數千年而不被分解。除此之外,另一種存在於牙齒及骨骼中的「碳」,是以碳酸根的型式存在,碳酸根可以取代骨骼中羥磷灰石的磷酸根,提供了分析用的碳源。牙齒及骨骼中碳酸根的「碳」與膠原蛋白中的「碳」來自不同的食物源,膠原蛋白中含有必需胺基酸,必需胺基酸主要來自於食物中的蛋白質,因此膠原蛋白中的碳可用來解析食物中的蛋白質;而生物體磷灰石中的碳,則代表整體食物組成,因血液中溶解的碳酸氫根源自於食物中的碳水化合物、脂質及蛋白質,最終形成骨骼中的碳酸根。
為進行同位素分析,必需先從骨骼中萃取膠原蛋白,萃取時需將骨骼浸泡在鹽酸或EDTA溶液中去除鈣離子,再浸泡於氫氧化鈉溶液中,除去其他的有機雜質,有時必需從膠原蛋白中將必需胺基酸分離出,才能正確地了解古人的飲食習慣,因而使用氣相層析同位素比值質譜分析技術。2005年Corr等人證明可以利用這樣的方法,分析膠原蛋白中的碳同位素,區別以海洋蛋白質、或乾燥地區以C4植物為主的飲食型態4。
3. 穩定性同位素分析在鑑別毒品上之應用
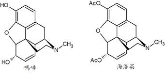
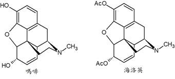
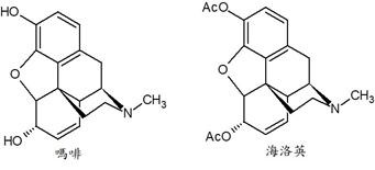
藥物與毒物經常是一線之隔,麻醉藥品是很好的例子,正常使用,在醫療上可以舒緩病患的疼痛,非醫療目的而反覆使用,便成了具有成癮性、濫用性及對社會造成危害的毒品,一但成癮,斷戒困難,再加上利之所趨,毒品走私是世界各國主要的犯罪形態之一。2003年峰秀號事件(Pong Su Incident)是韓國貨船走私海洛英(Heroin)到澳洲的例子,這艘貨船當時被查獲了125公斤的海洛英。海洛英與嗎啡(Morphine)的結構相似(圖三),以醋酸酐當試劑將嗎啡乙醯化可以得到海洛英。從罌粟中萃取出的嗎啡會因植物生長環境不同,不同產地的嗎啡就有不同的13C組成,再加上醋酸酐試劑本身也含有13C同位素,最終因同位素分化效應,與嗎啡原料做比較,所得海洛英之13C/12C比值降低,δ13C為負值,這樣的結果可以用來追溯毒品的產地,甚至找出運送毒品的新途徑。
圖三、嗎啡與海洛英的化學結構。
2006年分析由峰秀號所查獲的海洛英樣品時發現,所查獲的海洛英可能是當時尚未見過的新型態,由主要生物鹼的組成來看,與源自於東南亞的海洛英相似,但其他指標確不相同,緝毒單位因而認為該批海洛英可能來自於新的產地,或經由新的非法管道運送,因此進一步進行特定化合物之同位素分析,並與來源確定的海洛英樣品作比對。為確認這一批毒品的出處,除了從20包查獲的公斤級海洛英中取樣分析外,還分析了59個來自東南亞、37個來自亞洲西南部、104個來自南非、及21個來自墨西哥的樣品,最後確定該批海洛英並非源自於上述的地區,與目前查獲出處已知的海洛英樣品不同,產地不明。
由上述的例子可知穩定性同位素分析的實際應用,探古溯今,查緝峰秀號毒品走私所得的分析結果雖然令人擔憂,但也看出穩定同位素分析的重要性,隨著分析技術之發展,除了滿足人類對遠古時代的好奇心外,同位素不再是看不著、摸不到、只能收錄在教科書上的元素,而是真真實實與生活相關,可以使人更加安心的利器。
n 參考資料
1. The Discovery of Isotopes. Michael Thoennessen, 2016, Springer International Publishing Switzerland. ISBN 978-3-319-31763-2.
2. R. Letolle& Ph. Olive, A short history of isotopes in hydrology. Proceedings of the UNESCO/IAHS/IWHS symposium held in Rome, December 2003.
3. https://en.wikipedia.org/wiki/J._J._Thomson維基百科。
4. Biological anthropology of the human skeleton. 2nd edition. Shelley R. Saunders, 2007, John Wiley & Sons.
5. Stable Isotope Geochemistry, 8th edition.JochenHoefs, 2018, Springer Textbooks in Earth Sciences, Geography and Environment.
6. Stable Isotope Forensics. 2nd edition. Woldram Meier-Augenstein, 2018, John Wiley & Sons Ltd.
7. 王裕文等。應用穩定性同位素分析判別台灣咖啡產區之研究。2010。科學農業,58(7,8,9),146-153。
8. 劉滄棽。穩定同素在農業研究之應用。2017。農業試驗所技術服務季刋,110,20-25。
9. http://www.cpeo.org/techtree/ttdescript/csia.htm