製作天然柚香清潔劑 / 黎渝秀

Friday , 2, November 2018 Comments Off on 製作天然柚香清潔劑 / 黎渝秀

製作天然柚香清潔劑

 

黎渝秀

國立中央大學附屬中壢高級中學
candy@clhs.tyc.edu.tw 

 

n  前言

108課綱籌備以來,「自然科學探究與實作」、「多元彈性選修」一直是新課綱的核心精神之一。民國九十六學年起,本校優質化校務經營計畫「從AA+全面優質」願景下,課程多元創新的學園在高二課程開設一節彈性選修,提供學生在高二選組後,可以再依自己的興趣加深加廣的學習;緣此,作者依自然組學生程度開設「化山論見」彈性選修。學生課前需熟知實驗原理和步驟,依此撰寫實驗流程圖(即實驗預報),課堂中讓學生親自動手實驗,觀察現象,發現問題,解決問題,進而提出自己的想法,並將所學化學知識與生活中用品結合。

在中秋節時期,市場上販賣很多的柚子,散發淡淡的柚子香ー除了果肉多汁美味外,丟棄的果皮是否可再利用?這門課的學生討論熱烈,於是立即上網搜尋:柚子皮可製作成零食,也可入菜,富含天然精油成分,可提煉成香味劑和化妝品,柚皮風乾就可驅蚊,泡在酒精一周,就能當防蚊液等。經由討論後,我們決定製作天然柚香清潔劑。

n  文獻探討

1.         檸烯[1]

(1)     薴烯,又稱檸烯(Limonene;俗稱檸檬油精),化學式為C10H16,其結構式如圖一所示。

(2)     它是一種環狀單萜烯,室溫下容易揮發,廣泛存在於各種柑橘屬果皮及香精油。

(3)     用途:溶劑、清洗劑、除膠劑、調香劑、生物燃料和殺蟲劑,可溶解發泡聚苯乙烯(保麗龍)

clip_image002

圖一:薴烯的結構式

2.         常見柑橘皮精油的含量及其主要成分[2]

常見柑橘皮精油的含量及其主要成分,如表一所示。

表一:常見柑橘皮精油的含量及其主要成分

clip_image004

(資料來源:香氣分析:氣相層析法探討柑橘類精油成份組成)[2]

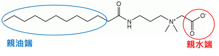
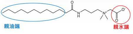
3.         椰子油起泡劑[1]

(1)     椰油醯胺丙基甜菜鹼(cocoamidopropyl betaine,CAPB)是由椰子油和二甲基氨基丙胺衍生的密切相關的有機化合物的混合物。

(2)     CAPB是在一端含有長烴鏈和另一端含極性基團的脂肪酸醯胺,如圖二所示。這允許CAPB作為表面活性劑和洗滌劑。它是由四級銨陽離子和羧酸鹽組成的兩性離子。

image

圖二:椰油醯胺丙基甜菜鹼的結構式

(3)     用途:廣泛用於中高級洗頭水、沐浴液、洗手液、泡沫潔面劑等和家居洗滌劑配制中;是製備溫和嬰兒洗頭水、嬰兒沐浴液、嬰兒護膚產品的主要成分;在護髮和護膚配方中是一種優良的柔軟調理劑;還可用作洗滌劑、潤濕劑、增稠劑、抗靜電劑及殺菌劑等。

(4)     推薦用量:洗頭水和沐浴液中為3-10%;美容化妝品中為1-2%

(5)     常見的幾種起泡劑都可以互相搭配做出各種膚感的清潔產品。

l  椰子油起泡劑和弱酸性起泡劑起泡效果較佳,但沒有滋潤功效,敏感性肌膚慎重選擇。

l  氨基酸起泡劑和無淚配方的兩性起泡劑最溫和,發泡效果亦十分顯著。

n  實驗架構圖[3]

本實驗的概要步驟,如圖三所示。

image

圖三:本實驗的概要步驟圖

n  實驗器材

1.         公用器材(一組3人用量):95%酒精350 mL30%椰子油起泡劑350 mL、食鹽7.5 g、甘油(丙三醇)120 mL、紗布。

2.         自備器材(一組3人用量):柚子皮4顆,刨刀一抜,玻璃瓶(附蓋子)1個,按壓瓶(保養品的空瓶亦可500mL1個、燒杯(500 mL2個、燒杯(或鐵盆,容量3 L1個、磁石攪拌器(或打蛋攪拌器)。

n  實驗步驟

(一)萃取柚子精油

1.         準備材料A:約4顆的柚子皮量、195%藥用酒精、適量的蒸餾水、1個玻璃罐。

2.         將果皮像削絲瓜皮一樣逐一削下(只要綠色的皮、白色的部分不要)(見圖四左),將上列材料全部放入1個玻璃罐中,依比例(95%酒精:蒸餾水=11[5]或比例(95%酒精:蒸餾水=500120[7]覆蓋柚子皮,浸泡二星期(淡黃色)(見圖四右)。

3.         將細紗布放在500 mL燒杯上方(可用橡皮筋固定),緩緩地將浸泡液倒入,取澄清浸泡液作為溶液A。(過濾的柚子皮渣,可以紗布包覆,置於廁所增加香氣和防蚊)

clip_image010clip_image012

圖四:柚子果皮像削絲瓜皮(左);萃取柚子精油(

(二)製作柚子清潔劑[6]

1.         準備材料B350 mL30%椰子油起泡劑(液狀)、1380 mL的蒸餾水、120 mL的甘油、7.5 g的食鹽。1:若椰子油起泡劑為70%,則以3 L的燒杯,秤取約150 g,再加水至350 mL處,以磁石攪拌器加熱至全溶,若加熱過程中溶液水量減少,可適時加蒸餾水補足。

2.         150 mL的濾液A放置於3L燒杯內,分別加入7.5 g的食鹽1380 mL的蒸餾水120 mL的甘油此時溶液混濁)(見圖五左)。【註2:蒸餾水可保留約380 mL,待加入甘油後,可用蒸餾水殘餘的甘油清洗至混合液中。】

3.         最後加入350 mL30%椰子油起泡劑,混合攪拌即可完成(溶液瞬間澄清)(見圖五右)【註3:可依上述比例調整柚子清潔劑,沒有柚子皮可用橘子、檸檬、柳丁的果皮替代[8, 9]。】。

clip_image014clip_image016

圖五:70%椰子油起泡劑加水稀釋(左);加入濾液A到材料B

n  學生實驗流程圖

學生撰寫的實驗步驟以圖文並茂方式展現,以下舉例兩組的圖示。

l第一組流程圖

clip_image018

l第八組流程圖

clip_image020

n  實驗討論

Q1:為何需用酒精浸泡柚子皮?

答案:柚子皮中的主要成分為檸烯,為不飽和烴,它的極性不大。以酒精(乙醇)的極性不大,當萃取溶劑是因為可萃取檸烯,亦可與水互溶。

2

clip_image022

6

clip_image024

Q2:為何要加入食鹽?若不加食鹽是否還有其他替代物?

答案:利用NaCl食鹽等無機鹽類(電解質)來調整濃稠度,但NaCl也不可以加過量,否則整個稠度會垮掉。添加的NaCl是利用鹽類在水中會解離產生離子(NaCl→Na++ Cl),此離子可降低親水基間因電性相同所產生之排斥力,增加界面活性劑分子聚集之數目,使微胞(micelle)變得較大,因此流動性會降低,黏度會增大。然而當鹽類增加至某一程度時,會產生鹽析現象(salting out),使得界面活性劑分子析出,黏度下降,整個稠度會迅速降低。因此,在調整濃度時,還是需以界面活性的多寡,來調整所需NaCl的劑量。

2

clip_image026

8

clip_image028

Q3:柚子皮中的主要成份為何[4]?除了可作為清潔劑外,還有其他用途嗎?請舉兩例說明之。

8

clip_image030

Q4:此實驗添加甘油的目的為何?

8

clip_image032

Q5:請你就家中的清潔劑之一的背面的成份,寫下並查明其簡易化學用途及可能的傷害。

8

clip_image034

2

clip_image036

n  Google Classroom協助課程

一、   在課程中發佈作業

clip_image038

二、   學生繳交作業情況

1.         學生在預設時間內上傳以自製柚子清潔劑洗碗。

clip_image040

2.         分別依照片或影片給予學生分數,並發還。

照片

clip_image042clip_image044

影片(天然柚香清潔劑https://youtu.be/rRJh7gBkRXM

三、   學生回饋

1.        建立Google表單,讓選課同學連結後回饋。

2.        Google表單會根據問卷作數據處理,提供授課教師參酌與改進。

clip_image046

3.        Google表單也可設計開放式問題,學生可以直接回饋。

clip_image048

n  教學省思

l   果皮的使用可依時令水果的果皮而調整,浸泡酒精的濃度可讓學生透過網路搜尋的資料來決定。

l   若使用椰子油起泡劑為70%的膏狀物,需再加水加熱至完全互溶;若為30%,則為液狀,可直接混合。

l   課程時間可為一節課,或兩節課,授課教師可自行調整,唯果皮浸泡液需前二週準備為佳。

l   材料B加入的先後順序,可讓學生思考,每組可不一樣,再互相比較。

l   果皮浸泡液是以酒精萃取,最後要加入甘油,而一般學生以為甘油是油,實際上是丙三醇,恰好高二上學期基礎化學(二)第三章常見的有機物介紹過,因此學生印象深刻。

l   製成的「柚子清潔劑」,讓學生以家裡用過的按壓瓶分裝並帶回,在學校裡清洗簡單的餐具,或在家幫忙洗碗。學生反應有淡淡的柚子香,一點點就很多泡泡,水一沖就無任何清潔劑殘留。學生家長肯定孩子能將化學應用於生活。

l   未來因應108課綱,除了化學和生物或家政上可以作深入探究與實作外,也可以讓學生加入「美術」作為成品外包裝的設計,甚至結合「公民」,分析經濟成本和市場上合理的販售價格。

n  參考文獻

1.         維基百科,檸檬烯https://zh.wikipedia.org/wiki/柠烯

2.         陳良宇、徐品家、李家齊、高詩堯,香氣分析:氣相層析法探討柑橘類精油成份組成,http://goo.gl/eQHGiM

3.         基礎化學(二),第三章及第四章(全華版)。

4.         歐明秋,化妝品原料概論界面活性劑,http://www.slvs.tc.edu.tw/125/20141107111151.pdf

5.         垃圾變黃金的洗碗神品~超濃縮果皮洗碗精,彰化縣57屆國中科展生活應用組,http://science.hsjh.chc.edu.tw/upload_works/106/cc526f4eaa1b83891ebb84c251eec319.pdf

6.         城乙化工,DIY柚子清潔劑,https://goo.gl/owqn5t

7.         黃建睿,評估柚子精油及檸檬桉精油抑制植物病原菌生長與防治植物病害效果,中興大學植病系碩士論文,2015年四月,頁12

8.         檸檬清潔劑https://blog.gtwang.org/diy/handmade-lemon-dishwashing-liquid/

9.         蔡承哲和周明謙,清淨至極探討水果皮清潔劑的清潔效果,第1051115梯次小論文,http://www.shs.edu.tw/works/essay/2016/11/2016111507234467.pdf

n  學生實驗手冊

下載本化學教室活動的學生實驗手冊「製作天然柚香清潔劑」