2019國際元素週期表年(IYPT):微量元素,人體中的有感元素! ∕張榮耀

Friday , 11, January 2019 1 Comment

2019國際元素週期表年(IYPT)微量元素,人體中的有感元素!

張榮耀

臺北市立和平高級中學

hamson11@gmail.com

 
You are what you eat!?但你還記得早餐吃了多少的釩?喝了幾口的鋅嗎?

  正常的成年人體內(體重以平均70公斤計),約含有7×1027個原子。其中,至少可檢測到的化學元素約有60種,大多數是人體與生俱來就擁有,而有些元素則是藉由飲食等方式進入人體。每種元素的含量因人而異,主要是由於體內脂肪、肌肉和骨骼的比例不同;脂肪含量較高的人,擁有較高比例的碳,而其它元素的比例就會較少。

  組成人體的主要元素,由多至少依序為氧(O)、碳(C)、氫(H)、氮(N)、鈣(Ca)、磷(P)、鉀(K)、硫(S)、鈉(Na)、氯(Cl)、鎂(Mg) (見圖1);以上這11個元素在一般人的體重中,佔了幾近99.9%的比例!

image

1組成人體主要元素的百分比

其餘的元素屬於微量元素,它們的含量總和,甚至低於鎂元素(正常人體中不到10),但卻影響了人體許多重要的生理機能,本文主要即針對這些平常為大家所忽略,卻又對於人體十分重要的元素進行介紹!

n  主要元素

  水約佔人體重量的70%,因此,氧與氫的含量多令人不足為奇;另外,擁有氫元素的分子可以在特殊的條件下形成分子內或分子間的氫鍵,使得這樣的分子具有特殊的形狀與性質,例如:各種蛋白質的形成、DNA的雙股螺旋結構等。

  碳是生命體中重要的元素,動植物體中所含的物質,其主要組成絕大部分含有碳元素,並稱之為有機化合物,例如:葡萄糖、纖維素、各種胺基酸、蛋白質、DNARNA等。

  氮藉由各種不同的胺基酸存在於人體中,構成了蛋白質並影響許多重要的生理機能,例如:胃蛋白酶,可將食物中的蛋白質分解為小的胜肽片斷,再被人體消化而吸收。

  鈣是重量組成中含量最多的元素,它的含量超過其它金屬重量的總和。骨骼是撐起身體的主要支架,而鈣與磷正是形成骨骼的最主要成分,約99%的鈣是以磷酸鈣的型式形成骨骼(這同時也是磷的主要存在型式),剩餘部份則與牙齒生長、肌肉收縮、神經系統的運作、幫助血液凝固和細胞分裂等有關。

  鉀在紅血球、肌肉與腦組織內含量較多,若攝取不足或過多,會影響心肌的跳動;鈉對多項人體功能十分重要,有助於維持體內細胞液和酸鹼性的平衡,也是神經傳導與肌肉收縮的重要元素。

  硫與肝臟的代謝機能有關,除此之外,在防止消化道的細菌感染、避免大腦衰老和抗氧化等方面也十分重要。在日常的飲食中,可以在蔥、蒜、韭菜等具有刺激性氣味的食物中,攝取到含有硫與硒的有機化合物。

  我們每天必須攝取適量的食鹽(氯化鈉),以維持體內正常的運作;而人體中也會製造氯化物,例如:胃會分泌胃酸(主要成分為鹽酸)來活化蛋白質酶,幫助食物消化。

  鎂可以協助蛋白質的製造,組成部分的酵素,是人體中不可或缺的元素;老年人缺乏鎂,會精神不佳、情緒低落,經由正常的飲食,即可獲取足量的鎂。

n  微量元素

  除了前述的11種元素,為了維持人體正常的生理機能,尚需要其它的元素;由於這些元素的含量極少,一般便以毫克為計量單元,我們稱為微量元素。

  人體內的鐵(Fe)元素(見圖2),主要存在於肝臟、脾臟與骨髓中,血紅素含有亞鐵離子(Fe2),容易與氧氣結合,藉由血液的循環將氧輸送至身體各處。乳鐵蛋白在腸胃道中,可幫助鐵離子運送與吸收,對人體的免疫功能有重要的影響。肝臟、豬血、紅肉、紫菜、蛋、全穀類、乾果類、綠色蔬菜中都含有豐富的鐵質,若搭配維生素C則更容易被吸收。女性比男性需要攝取更多的鐵,特別在懷孕期間,可多攝取上述的食物。

clip_image005

2鐵元素的外觀

(圖片來源:https://zh.wikipedia.org/wiki/%E9%93%81

  鋅(Zn)為人體生長的必需元素(見圖3),控制發育生長、壽命及生殖能力的酵素大多含有鋅,人體肝臟的酒精脫氧酶是以鋅為中心,可進行酒精的分解;成長中的孩子若缺乏鋅,則可能有食慾不振、注意力不集中的問題。海鮮類(牡蠣、蝦、蟹)、動物肝臟、牛肉、蛋黃、五穀類、豆類、茄子、核桃、蘋果、柿子中,皆含有豐富的鋅,藉由平日均衡的飲食習慣,即可攝取足量的鋅。

clip_image006

3鋅元素的外觀

(圖片來源:https://zh.wikipedia.org/wiki/%E9%94%8C

  排名在鋅後面的銅(Cu)、錫(Sn)、釩(V)、鉻(Cr)、錳(Mn)、鉬(Mo)、鈷(Co)、鎳(Ni),多為酵素的一部分,通常不必擔心這些金屬攝取不足的問題;要擔心的,反而是攝取過量,對其它金屬產生排斥的作用,影響了人體正常的生理機能。

  銅(Cu)是人體的必要元素(見圖4),成年人的體內約含50120mg,可幫助人體內的鐵吸收形成血紅素,科學家建議每日銅的正常攝取量為2mg。銅經由人體吸收,很快由尿液、膽汁及糞便排出,但長期服用過多的銅會損壞肝臟及腎臟,人體可能出現中毒症狀,例如:噁心、嘔吐、口腔灼熱感、腹痛下痢、頭痛暈眩、胃痙攣等。含銅較多的有牡蠣、蝦、蟹等海鮮類,在牠們的血液中,負責輸送氧的血青素中含有銅,類似人類血紅素中鐵的功能。

clip_image007

4銅元素具有紅棕色的外觀

(圖片來源:https://zh.wikipedia.org/wiki/%E9%93%9C

  當牡蠣體內累積的銅超過500ppm以上,肉眼就會看見綠色,此綠色是由於銅存在牡蠣淋巴系統中,而牡蠣對銅具有生物累積作用。例如:在民國75年間,高雄與臺南交界的二仁溪口海域,因為不肖業者在回收廢電線、電子零件、電路板等廢棄五金中的貴金屬後,將含有大量銅離子的廢液排放至溪水中,使得沿海養殖的牡蠣呈現綠色,即所謂「綠牡蠣」事件,綠牡蠣體內的含銅濃度,是附近海水中的50萬倍(韓柏檉,1989)

clip_image009

5蚵農採集的綠牡蠣

(圖片來源:https://ourisland.pts.org.tw/綠牡蠣悲歌)

  大部分的錫(Sn)化合物是無毒的,簡單的錫化合物和錫鹽的毒性相當低,但一些有機錫化物的毒性非常高,例如:三苯基醋酸錫,這種已禁用的農藥,具有毒性且可能致癌。錫的三烴基化合物(例如:三丁基錫,TBT)具有強烈毒性,早期被用來製作船的底漆(見圖6),以殺死附生在船身的微生物、藻類和貝殼。但是環境研究顯示,三丁基錫是持久性的有機污染物,不只是毒化物,也是一種環境荷爾蒙,目前世界各國尚未訂出安全標準,但TBT的蓄積具有生物放大效果,長期累積不易分解,如果吃下含有TBT的魚貝類,會對人體發生類似賀爾蒙的干擾作用。 國際環保組織已決定從2003年開始逐步禁止使用TBT或其他有機錫基的船底漆,自2008年開始全面停止生產錫基船底漆以保護環境。但根據環保署委託成功大學環境微量毒物研究中心,針對臺灣七大漁港底泥與生物樣本的研究顯示,漁港底泥中的TBT濃度並未降低,且港內魚體的TBT含量仍遠高於港外。由於TBT為持久性有機污染物,長期累積不易分解,要降低環境中TBT濃度並不容易。

clip_image011

6有機錫常作為船舶的底漆塗料

(圖片來源:https://scitechvista.nat.gov.tw/c/sZ33.htm

  人體內的釩(V)元素(見圖7),是一些酶的組成成分,可能有促進成長的功用;部分小動物,例如鼠和雞也需要少量的釩,缺釩會阻礙它們的生長和繁殖。一些含釩的物質具有類似胰島素的效用,醫學上已嘗試用來治療糖尿病患。另外,科學家發現,一些微生物使用含釩的酶來固定空氣中的氮,許多海藻類生物含有釩溴過氧酶(vanadium bromo-peroxidase,V-BrPO),能促進鹵素離子的氧化作用並進行有機分子的鹵化反應。

clip_image012

7釩元素的外觀

(圖片來源:https://zh.wikipedia.org/wiki/%E9%92%92

  鉻(Cr)是人體必需的微量元素(見圖8),三價的鉻是對人體有益的元素,在醣類與脂質代謝中,具有特殊的作用:可調節人體內的醣類代謝、維持正常的葡萄糖濃度、影響有機體的脂質代謝、降低血液中膽固醇的含量、預防心血管疾病等。此外,可做為DNARNA的穩定劑,用以防止細胞內某些基因物質的突變。蛋黃、牛肉、肝、花生、蘋果、香蕉、麵粉、馬鈴薯及黑胡椒等,是鉻的主要來源。六價的鉻有毒,對人體組織造成刺激與腐蝕性,並具有致癌的風險。

clip_image013

8具有銀白色金屬光澤的釩

(圖片來源:https://zh.wikipedia.org/wiki/%E9%93%AC

  錳(Mn)是高等動物必需的元素(見圖9),在人體中的錳含量約為4ppm,對體內主要的影響包括生長、血液與內分泌功能。當人體缺乏足量的錳,會導致骨骼發育不健全,並會引起生長遲緩等情況。綠色蔬菜、堅果、茶葉、豆類、鳳梨、玉米、小麥與米等穀類,都是很好的錳來源。

clip_image014

9錳元素的外觀

(圖片來源:https://zh.wikipedia.org/wiki/%E9%94%B0

  鉬(Mo)是一種在人體內重要的微量元素(見圖10),但若是過多則會形成毒害。在人體中,鉬的主要功能是作為酶的催化劑,幫助分解體內的氨基酸。醫學上發現,酒精進入身體,先被含有鋅的酶氧化成醛,再被含鉬的酶氧化成酸,完成代謝。此外,某些含鉬的酶則會製造尿酸,但如果這些含鉬的酶太活躍,尿酸會在關節處累積,反而造成痛風。

clip_image015

10鉬元素的外觀

(圖片來源:https://zh.wikipedia.org/wiki/%E9%92%BC

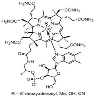
  鈷(Co)是維生素B12的中心元素(見圖11),與紅血球的生成有關,多吃綠色蔬菜對鈷的攝取很有幫助。鈷鹽有擴張血管的作用,因此攝食後,可能會出現面色潮紅、血壓下降等症狀;鈷鹽對甲狀腺功能也有影響,臨床實驗證實鈷為甲狀腺素合成的必需物,無機鈷攝食過多可能導致甲狀腺增生,並造成肺臟、心臟的病變。另外,由於半生期較長,人工放射性同位素鈷-60γ射線,已代替早期鐳的X射線或α射線,用以治療癌症、滅菌、標記追蹤劑等,也可用於材料內部結構的分析(近年來,由於銫-137具有更長的半生期,不但放射性強度穩定,且保存時間長,故鈷-60在工業和放射醫學中的應用,已逐漸被銫-137所取代)

image

11維生素B12的構造

(圖片來源:https://zh.wikipedia.org/wiki/%E7%BB%B4%E7%94%9F%E7%B4%A0B12

鎳可能致癌,科學家研究可能歸因於在人體中鎳可取代鋅與錳,造成DNA聚合酶錯亂而形成錯誤序列的DNA,雖然人體可自我修復,但若長期暴露於鎳含量高的環境,致癌機率就會大增。鎳的來源有豆類與茶,大多數鎳化物無毒,但四羰化鎳(Ni(CO)4)(見圖12)具有劇毒且易燃,在60就會爆炸。於高濃度下,藉由皮膚吸收即可能引發心肺功能失常或腎衰竭而死亡。

image

12四羰化鎳的正四面體結構

(圖片來源:https://zh.wikipedia.org/wiki/%E5%9B%9B%E7%BE%B0%E5%9F%BA%E9%95%8D

n  結語

綜上所述,雖然微量元素在人體內的含量極少,但卻像是細緻的小螺絲釘般,把每一個生命的環節緊緊的聯繫在一起。

然而,如何獲取這些含量少卻又不可或缺的微量元素呢?其實大多數的微量元素存在於各種天然的食材中,只要每日能均衡、適量地攝取國健署建議的六大類食物(全榖雜糧、豆魚蛋肉、蔬菜、水果、乳品及堅果類等),少油、少鹽、少糖並多喝水,相信大家都可以吃得愉快又健康!

n  參考資料

1.任金霞、田曉伍()(2005)。化學元素導覽(原作者:StwertkaAlbert)。臺北市:世潮出版社。

2.吳嘉麗(1999)。化學醫藥與社會。臺北市:中國化學會。

3.韓柏檉(1989)。冰山一角──綠牡蠣事件。科學月刋,237108123日,取自:科學月刋全文資料庫http://lib.cysh.cy.edu.tw/science/content/1989/00090237/0009.htm

4.鈷。國家環境毒物研究中心。108123日,取自:http://nehrc.nhri.org.tw/toxic/toxfaq_detail_mobile.php?id=50

5.歐惠郡、張祖辛(2009)。人體中的元素(Elements in the Body)。科學Online 高瞻自然科學教學資源平臺。108123日,取自:http://highscope.ch.ntu.edu.tw/wordpress/?p=2901

6.維基百科(2019)Composition of the human bodyRetrieved January 23,2019, from https://en.wikipedia.org/wiki/Composition_of_the_human_body

7. Jockers, D.(2011).Sulfur is an important nutrient for optimal health. Retrieved January 23,2019, from  https://www.naturalnews.com/034065_sulfur_nutrient.html.

8. Pedersen, T. (2018). Facts About Molybdenum. Retrieved January 23,2019, fromhttps://www.livescience.com/34687-molybdenum.html

9.Schirber, M. (2009).The Chemistry of Life: The Human Body. Retrieved January 23 , 2019. fromhttps://www.livescience.com/3505-chemistry-life-human-body.html

One thought on “ : 2019國際元素週期表年(IYPT):微量元素,人體中的有感元素! ∕張榮耀”
  • 梁敏娟 says:

    那硅是不是身體裡面的其中一個元素
    市面上現在有賣珪素是取自金屬類還是植物類